光引发剂是指在光照下吸收光子并激发形成活性物种的分子,这些活性物种能够引发一系列反应。引发物种可以是自由基、阳离子或阴离子。自由基光引发剂种类繁多,阳离子光引发剂种类较少,主要为锍盐,几乎所有自由基光引发剂都含有苯甲酰基(苯基-CO-)结构单元。最重要的两类是α-可裂解光引发剂和不可裂解光引发剂。

麦克林提供各类实验用光引发剂试剂,具有纯度等级高、生产工艺先进、支持研发定制等特点,能被广泛适用于各类科研项目、研究实验中,欢迎选购。
本文通过以下几点介绍麦克林光引发剂试剂的化学特性和相关应用:
1. 光引发聚合
2. 光引发剂的分类
3. 常用光引发剂的用途
4. 麦克林光引发剂产品介绍
1. 光引发剂聚合![]()
光引发剂吸收紫外-可见光谱范围内的光(通常为250–450 nm),并将光能转化为化学能,以反应中间体的形式存在,例如自由基和反应性阳离子,这些中间体随后引发聚合反应。单体、低聚物和聚合物的光引发聚合和交联是许多具有广泛应用价值的重要商业工艺的基础,包括光成像以及涂料和油墨的紫外固化。除了光引发剂外,光交联还可以使用光交联剂和光交联聚合物来实现,
2. 光引发剂的分类![]()
光引发剂主要分为两大类。它们的分类依据是它们在光照下形成自由基的方式。这两类分别是裂解型和氢原子夺取型。
2.1 I型光引发剂(裂解型)
I型光引发剂通过一步反应发挥作用。当光照射到这些分子上时,它们会通过称为裂解的过程断裂。这种断裂会立即产生自由基。自由基这类化合物强度足以引发聚合反应。苯偶姻甲醚是此类化合物的常见例子。其他例子包括酰基膦氧化物。这类化合物常用于需要快速高效固化的场合。其反应过程简单:化合物裂解生成自由基,这些自由基有助于单体连接形成聚合物。由于反应速度快,它们在高速生产线中应用广泛。
2.2 II型光引发剂(H-夺取型)
II型光引发剂需要伴侣分子才能发挥作用。当吸收光能时,这类光引发剂会跃迁到激发态,然后从供体分子中夺取一个氢原子,生成自由基。二苯甲酮是常见的II型光引发剂。当与胺类化合物结合时,二苯甲酮可以成为高效的聚合引发剂。与I型光引发剂不同,这类光引发剂需要氢供体才能完成反应。由于需要额外的反应步骤,它们的反应速度比裂解型光引发剂慢。然而,在需要可控固化过程的体系中,它们仍然具有独特的应用价值。
理想的光引发剂应具备以下优点:
1、价格低廉且易于合成;
2、光引发剂及其光解产物应无毒无味;
3、稳定性好,易于长期储存;
4、光引发剂的吸收光谱必须与辐射源的发射带相匹配,并且具有较高的摩尔消光系数;
5、高启动率
3. 常用光引发剂的用途![]()
3.1 AIBN
偶氮二异丁腈 是一种常用的工业光引发剂,它会分解成两个自由基和氮气。

偶氮二异丁腈是一种白色粉末,常用作乙烯基聚合物(例如聚氯乙烯,也称PVC)的光引发剂。由于这种光引发剂分解时会产生氮气(N₂ ),因此常被用作发泡剂,以改变塑料的形状和/或质地。
3.2 过氧化苯甲酰
过氧化苯甲酰 与偶氮二异丁腈类似,是一种白色粉末,可用作各种商业和工业过程中的光引发剂,包括塑料生产。然而,与偶氮二异丁腈不同的是,过氧化苯甲酰分解时会产生氧气,因此该化合物也具有多种医疗用途。
过氧化苯甲酰接触皮肤后会分解,产生氧气等物质。氧气会被皮肤毛孔吸收,杀死引起痤疮的痤疮丙酸杆菌。此外,产生的自由基可以分解死皮细胞。清除这些死皮细胞可以防止毛孔堵塞,从而预防痤疮爆发。

过氧化苯甲酰是一种常用的光引发剂,用于塑料生产和痤疮药物治疗
3.3 樟脑醌
樟脑醌 (CQ) 是一种光敏剂,与胺体系配合使用,在光照下可生成伯自由基。这些自由电子随后攻击树脂单体的双键,从而引发聚合反应。固化树脂的物理性能受聚合初期伯自由基生成的影响。
3.4 Irgacure 819
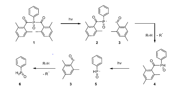
Irgacure 819(BAPO,双(2,4,6-三甲基苯甲酰基)苯基氧化膦)是一种Norrish型光引发剂,用于双光子聚合等聚合反应。光照下,每个分解的分子会生成四个自由基,因此它能高效引发聚合反应。第二组自由基通过夺取或链转移形成,进一步促进反应进行。

Irgacure 819 形成 4 个自由基的机制
4. 麦克林光引发剂试剂介绍![]()
麦克林光引发剂试剂产品优势
1. 结构新颖、品种繁多
2. 纯度等级高
3. 生产工艺先进
4. 接受研发定制
| 产品编号 | CAS NO. | 项目名称规格 | 规格 |
| B801870 | 119-53-9 | 安息香 | 99.50% |
| H742530 | 7473-98-5 | 2-羟基-2-甲基苯丙酮 | 99% |
| H823463 | 106797-53-9 | 2-羟基-4′-(2-羟乙氧基)-2-甲基苯丙酮 | 98% |
| P831909 | 162881-26-7 | 苯基双(2,4,6-三甲基苯甲酰基)氧化膦 | 98% |
| L862544 | 85073-19-4 | 苯基(2,4,6-三甲基苯甲酰基)磷酸锂盐 | 98%(HPLC)(T) |
| B802287 | 24650-42-8 | 安息香二甲醚 | 99% |
| H811166 | 947-19-3 | 1-羟环己基苯酮 | 98% |
| H810852 | 99-93-4 | 4-羟基苯乙酮 | 98% |
| F809617 | 102-54-5 | 二茂铁 | 99% |
| B802181 | 119-61-9 | 二苯甲酮 | 99% |
| D742503 | 75980-60-8 | 二苯基(2,4,6-三甲基苯甲酰基)氧化膦 | 99% |
| D834856 | 6175-45-7 | 2,2-二乙氧基苯乙酮 | ≥95% |
| N815087 | 21829-25-4 | 硝苯地平 | ≥98.0%(HPLC) |
| E843527 | 84434-11-7 | 2,4,6-三甲基苯甲酰基苯基膦酸乙酯 | 97% |
| B802393 | 2421-28-5 | 3,3'4,4'-二苯甲酮四羧酸二酐 | 99% |
| I834922 | 5495-84-1 | 2-异丙基硫杂蒽酮 | >98% |
| A800073 | 84-65-1 | 蒽醌 | 98% |
| B802243 | 134-81-6 | 苯偶酰 | 98% |
| C832719 | 10373-78-1 | (±)-樟脑醌 | >98.0%(GC) |
| M838095 | 71868-10-5 | 2-甲基-2-(4-吗啉基)-4'-(甲硫基)苯丙酮 | 98% |
麦克林是实验用光引发剂试剂大规模生产商,我们针对生产和生化技术客户提供定制配方制剂
访问麦克林官网:www.macklin.cn 了解更多产品
上一篇: 麦克林限制性核酸内切酶产品介绍 下一篇: 麦克林上转换纳米颗粒试剂介绍